关于公示2025年度第二批足球运动员技术等级申报名单的通知

2025-04-25 00:00

图片
附件1:2025年第二批足球运动员技术等级公示名单(一级运动员)
图片
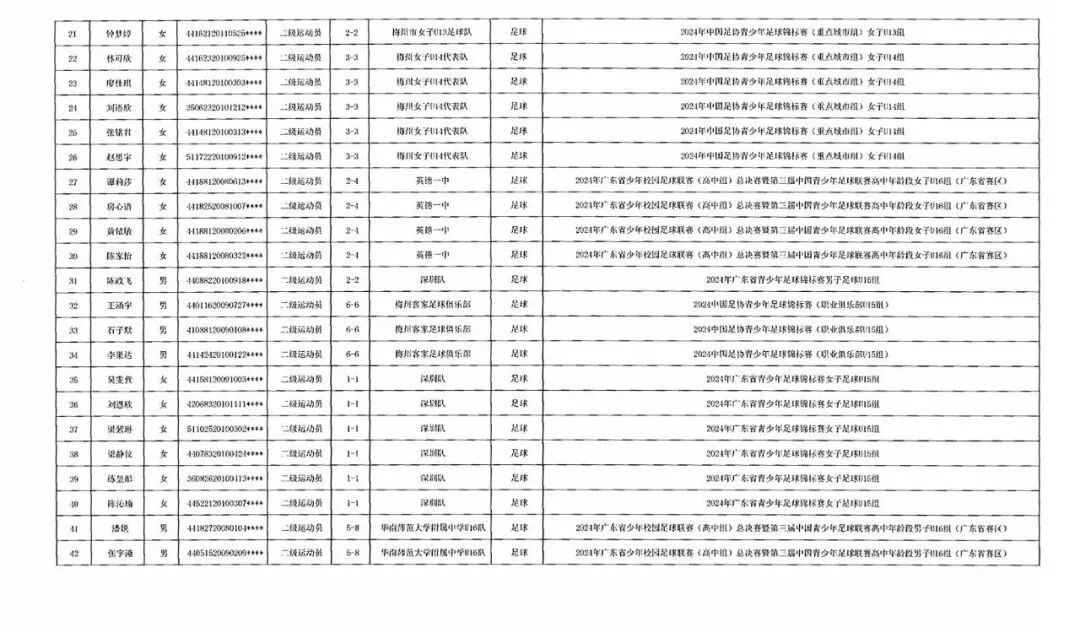
附件2:2025年第二批足球运动员技术等级公示名单(二级运动员)
图片
图片